Präzisionssonnenuhr • precision sundial • cadran solaire de précision
Präzisions Sonnenuhr Sonnenuhren sundial sundials cadrans solaires zonnewijzers meridiana
relojes de sol




Was unterscheidet diese Sonnenuhr
von anderen Sonnenuhren ?
Bei der Konzeption der Sonnenuhr standen zwei Aspekte
im Vordergrund, zum einen deren Bauweise, die es
ermöglichen sollte für wirklich jeden Aufstellort auf
der Erde eine Sonnenuhr zu liefern, und zum anderen deren
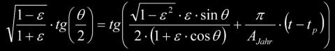
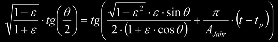
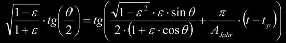
Genauigkeit mit den verschiedenen Anzeigefunktionen.
Das Resultat ist eine Präzisions-Sonnenuhr mit zwei Zifferblätter die an Funktionalität
kaum zu übertreffen sind.
Trotz der erforderlichen Einzelanfertigung bleibt dieses Schmuckstück für jeden Gartenbesitzer
erschwinglich.
Die Beschriftung der Zifferblätter mit dem Ortsnamen und den Koordinaten des Aufstellungsortes
sowie die Sprachwahl sind selbstverständlich. Spezielle Wünsche werden, sofern machbar,
ebenfalls gerne berücksichtigt.
Wenn Sie weitere Informationen wünschen, zum Beispiel über die Berechnung eines Zifferblattes
für Ihre Hauswand, zögern Sie nicht mich zu kontaktieren.
Albin Hoffmann